REVERSE-LINKED-LIST
Intro(REVERSE-LINKED-LIST | 反转链表) #
题目描述 #
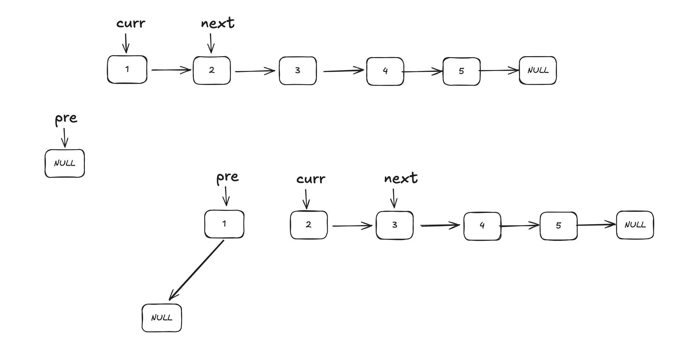
给你单链表的头节点 head ,请你反转链表,并返回反转后的链表。如下:
graph LR; A[1] --> B[2]; B --> C[3]; C --> D[4]; D --> E[5]; E --> F[NULL];graph RL; E[5] --> D[4]; D --> C[3]; C --> B[2]; B --> A[1]; A[1] --> F[NULL];Attention
在力扣题目 206. 反转链表 、 剑指 Offer 24. 反转链表 中,根据官方题解可知有 迭代 和 递归 的方式。
对于递归的方式暂时先不记录。只对迭代通过图形的方式加深印象。
Reference #
comments powered by Disqus